Code
library(tidymodels)
library(themis)
library(tidyverse)
library(skimr)
library(GGally)
library(readr)
library(vip) Tony Duan
January 29, 2023

[1] 50000 23
Rows: 50,000
Columns: 23
$ hotel <fct> City_Hotel, City_Hotel, Resort_Hotel, R…
$ lead_time <dbl> 217, 2, 95, 143, 136, 67, 47, 56, 80, 6…
$ stays_in_weekend_nights <dbl> 1, 0, 2, 2, 1, 2, 0, 0, 0, 2, 1, 0, 1, …
$ stays_in_week_nights <dbl> 3, 1, 5, 6, 4, 2, 2, 3, 4, 2, 2, 1, 2, …
$ adults <dbl> 2, 2, 2, 2, 2, 2, 2, 0, 2, 2, 2, 1, 2, …
$ children <fct> none, none, none, none, none, none, chi…
$ meal <fct> BB, BB, BB, HB, HB, SC, BB, BB, BB, BB,…
$ country <fct> DEU, PRT, GBR, ROU, PRT, GBR, ESP, ESP,…
$ market_segment <fct> Offline_TA/TO, Direct, Online_TA, Onlin…
$ distribution_channel <fct> TA/TO, Direct, TA/TO, TA/TO, Direct, TA…
$ is_repeated_guest <dbl> 0, 0, 0, 0, 0, 0, 0, 0, 0, 0, 0, 0, 0, …
$ previous_cancellations <dbl> 0, 0, 0, 0, 0, 0, 0, 0, 0, 0, 0, 0, 0, …
$ previous_bookings_not_canceled <dbl> 0, 0, 0, 0, 0, 0, 0, 0, 0, 0, 0, 0, 0, …
$ reserved_room_type <fct> A, D, A, A, F, A, C, B, D, A, A, D, A, …
$ assigned_room_type <fct> A, K, A, A, F, A, C, A, D, A, D, D, A, …
$ booking_changes <dbl> 0, 0, 2, 0, 0, 0, 0, 0, 0, 0, 0, 0, 0, …
$ deposit_type <fct> No_Deposit, No_Deposit, No_Deposit, No_…
$ days_in_waiting_list <dbl> 0, 0, 0, 0, 0, 0, 0, 0, 0, 0, 0, 0, 0, …
$ customer_type <fct> Transient-Party, Transient, Transient, …
$ average_daily_rate <dbl> 80.75, 170.00, 8.00, 81.00, 157.60, 49.…
$ required_car_parking_spaces <fct> none, none, none, none, none, none, non…
$ total_of_special_requests <dbl> 1, 3, 2, 1, 4, 1, 1, 1, 1, 1, 0, 1, 0, …
$ arrival_date <date> 2016-09-01, 2017-08-25, 2016-11-19, 20…
unbalance data
# A tibble: 2 × 3
children n prop
<fct> <int> <dbl>
1 children 4038 0.0808
2 none 45962 0.919
| Name | hotels |
| Number of rows | 50000 |
| Number of columns | 23 |
| _______________________ | |
| Column type frequency: | |
| Date | 1 |
| factor | 11 |
| numeric | 11 |
| ________________________ | |
| Group variables | None |
Variable type: Date
| skim_variable | n_missing | complete_rate | min | max | median | n_unique |
|---|---|---|---|---|---|---|
| arrival_date | 0 | 1 | 2015-07-01 | 2017-08-31 | 2016-08-29 | 793 |
Variable type: factor
| skim_variable | n_missing | complete_rate | ordered | n_unique | top_counts |
|---|---|---|---|---|---|
| hotel | 0 | 1 | FALSE | 2 | Cit: 30752, Res: 19248 |
| children | 0 | 1 | FALSE | 2 | non: 45962, chi: 4038 |
| meal | 0 | 1 | FALSE | 5 | BB: 38316, HB: 6399, SC: 4494, Und: 580 |
| country | 0 | 1 | FALSE | 155 | PRT: 14046, GBR: 6405, FRA: 5627, ESP: 4298 |
| market_segment | 0 | 1 | FALSE | 7 | Onl: 23760, Off: 10604, Dir: 7131, Gro: 5124 |
| distribution_channel | 0 | 1 | FALSE | 5 | TA/: 38349, Dir: 8083, Cor: 3459, GDS: 108 |
| reserved_room_type | 0 | 1 | FALSE | 9 | A: 34889, D: 8675, E: 3096, F: 1299 |
| assigned_room_type | 0 | 1 | FALSE | 10 | A: 27357, D: 12577, E: 3924, F: 1839 |
| deposit_type | 0 | 1 | FALSE | 3 | No_: 49839, Ref: 92, Non: 69 |
| customer_type | 0 | 1 | FALSE | 4 | Tra: 35343, Tra: 12430, Con: 1864, Gro: 363 |
| required_car_parking_spaces | 0 | 1 | FALSE | 2 | non: 45019, par: 4981 |
Variable type: numeric
| skim_variable | n_missing | complete_rate | mean | sd | p0 | p25 | p50 | p75 | p100 | hist |
|---|---|---|---|---|---|---|---|---|---|---|
| lead_time | 0 | 1 | 80.09 | 91.20 | 0.00 | 8.0 | 45.0 | 125 | 709 | ▇▂▁▁▁ |
| stays_in_weekend_nights | 0 | 1 | 0.93 | 1.00 | 0.00 | 0.0 | 1.0 | 2 | 19 | ▇▁▁▁▁ |
| stays_in_week_nights | 0 | 1 | 2.46 | 1.94 | 0.00 | 1.0 | 2.0 | 3 | 50 | ▇▁▁▁▁ |
| adults | 0 | 1 | 1.83 | 0.51 | 0.00 | 2.0 | 2.0 | 2 | 4 | ▁▂▇▁▁ |
| is_repeated_guest | 0 | 1 | 0.04 | 0.20 | 0.00 | 0.0 | 0.0 | 0 | 1 | ▇▁▁▁▁ |
| previous_cancellations | 0 | 1 | 0.02 | 0.29 | 0.00 | 0.0 | 0.0 | 0 | 13 | ▇▁▁▁▁ |
| previous_bookings_not_canceled | 0 | 1 | 0.20 | 1.80 | 0.00 | 0.0 | 0.0 | 0 | 72 | ▇▁▁▁▁ |
| booking_changes | 0 | 1 | 0.29 | 0.74 | 0.00 | 0.0 | 0.0 | 0 | 21 | ▇▁▁▁▁ |
| days_in_waiting_list | 0 | 1 | 1.57 | 14.79 | 0.00 | 0.0 | 0.0 | 0 | 379 | ▇▁▁▁▁ |
| average_daily_rate | 0 | 1 | 99.94 | 49.04 | -6.38 | 67.5 | 92.5 | 125 | 510 | ▇▆▁▁▁ |
| total_of_special_requests | 0 | 1 | 0.71 | 0.83 | 0.00 | 0.0 | 1.0 | 1 | 5 | ▇▁▁▁▁ |
# A tibble: 2 × 3
children n prop
<fct> <int> <dbl>
1 children 3027 0.0807
2 none 34473 0.919
# A tibble: 2 × 3
children n prop
<fct> <int> <dbl>
1 children 1011 0.0809
2 none 11489 0.919
recipe
holidays <- c("AllSouls", "AshWednesday", "ChristmasEve", "Easter",
"ChristmasDay", "GoodFriday", "NewYearsDay", "PalmSunday")
lr_recipe <-
recipe(children ~ ., data = hotel_other) %>%
step_date(arrival_date) %>%
step_holiday(arrival_date, holidays = holidays) %>%
step_rm(arrival_date) %>%
step_dummy(all_nominal_predictors()) %>%
step_zv(all_predictors()) %>%
step_normalize(all_predictors())model
workflow
CREATE THE GRID FOR TUNING
# A tibble: 5 × 1
penalty
<dbl>
1 0.0001
2 0.000127
3 0.000161
4 0.000204
5 0.000259
# A tibble: 5 × 1
penalty
<dbl>
1 0.0386
2 0.0489
3 0.0621
4 0.0788
5 0.1

# A tibble: 15 × 7
penalty .metric .estimator mean n std_err .config
<dbl> <chr> <chr> <dbl> <int> <dbl> <chr>
1 0.000127 roc_auc binary 0.872 1 NA Preprocessor1_Model02
2 0.000161 roc_auc binary 0.872 1 NA Preprocessor1_Model03
3 0.000204 roc_auc binary 0.873 1 NA Preprocessor1_Model04
4 0.000259 roc_auc binary 0.873 1 NA Preprocessor1_Model05
5 0.000329 roc_auc binary 0.874 1 NA Preprocessor1_Model06
6 0.000418 roc_auc binary 0.874 1 NA Preprocessor1_Model07
7 0.000530 roc_auc binary 0.875 1 NA Preprocessor1_Model08
8 0.000672 roc_auc binary 0.875 1 NA Preprocessor1_Model09
9 0.000853 roc_auc binary 0.876 1 NA Preprocessor1_Model10
10 0.00108 roc_auc binary 0.876 1 NA Preprocessor1_Model11
11 0.00137 roc_auc binary 0.876 1 NA Preprocessor1_Model12
12 0.00174 roc_auc binary 0.876 1 NA Preprocessor1_Model13
13 0.00221 roc_auc binary 0.876 1 NA Preprocessor1_Model14
14 0.00281 roc_auc binary 0.875 1 NA Preprocessor1_Model15
15 0.00356 roc_auc binary 0.873 1 NA Preprocessor1_Model16
# A tibble: 1 × 7
penalty .metric .estimator mean n std_err .config
<dbl> <chr> <chr> <dbl> <int> <dbl> <chr>
1 0.00137 roc_auc binary 0.876 1 NA Preprocessor1_Model12

Random Forest Model Specification (classification)
Main Arguments:
mtry = tune()
trees = 1000
min_n = tune()
Engine-Specific Arguments:
num.threads = cores
Computational engine: ranger
Collection of 2 parameters for tuning
identifier type object
mtry mtry nparam[?]
min_n min_n nparam[+]
Model parameters needing finalization:
# Randomly Selected Predictors ('mtry')
See `?dials::finalize` or `?dials::update.parameters` for more information.
# A tibble: 3 × 8
mtry min_n .metric .estimator mean n std_err .config
<int> <int> <chr> <chr> <dbl> <int> <dbl> <chr>
1 18 29 roc_auc binary 0.922 1 NA Preprocessor1_Model1
2 24 8 roc_auc binary 0.921 1 NA Preprocessor1_Model3
3 1 18 roc_auc binary 0.871 1 NA Preprocessor1_Model2
# A tibble: 1 × 3
mtry min_n .config
<int> <int> <chr>
1 18 29 Preprocessor1_Model1
# A tibble: 22,500 × 8
id .pred_children .pred_none .row mtry min_n children .config
<chr> <dbl> <dbl> <int> <int> <int> <fct> <chr>
1 validation 0.187 0.813 13 18 29 none Preprocessor…
2 validation 0.0381 0.962 20 18 29 none Preprocessor…
3 validation 0.470 0.530 22 18 29 children Preprocessor…
4 validation 0.00824 0.992 23 18 29 none Preprocessor…
5 validation 0.00592 0.994 31 18 29 none Preprocessor…
6 validation 0.000445 1.00 38 18 29 none Preprocessor…
7 validation 0 1 39 18 29 none Preprocessor…
8 validation 0.00676 0.993 50 18 29 none Preprocessor…
9 validation 0.0346 0.965 54 18 29 none Preprocessor…
10 validation 0.0340 0.966 57 18 29 children Preprocessor…
# … with 22,490 more rows
last_rf_mod <-
rand_forest(mtry = 8, min_n = 7, trees = 1000) %>%
set_engine("ranger", num.threads = cores, importance = "impurity") %>%
set_mode("classification")
# the last workflow
last_rf_workflow <-
rf_workflow %>%
update_model(last_rf_mod)
# the last fit
set.seed(345)
last_rf_fit <-
last_rf_workflow %>%
last_fit(splits)
last_rf_fit# Resampling results
# Manual resampling
# A tibble: 1 × 6
splits id .metrics .notes .predict…¹ .workflow
<list> <chr> <list> <list> <list> <list>
1 <split [37500/12500]> train/test split <tibble> <tibble> <tibble> <workflow>
# … with abbreviated variable name ¹.predictions
# A tibble: 2 × 4
.metric .estimator .estimate .config
<chr> <chr> <dbl> <chr>
1 accuracy binary 0.946 Preprocessor1_Model1
2 roc_auc binary 0.924 Preprocessor1_Model1
https://www.youtube.com/watch?v=dbXDkEEuvCU
https://juliasilge.com/blog/hotels-recipes/
---
title: "[tidymodel]Modeling hotel bookings in R using tidymodels and recipes"
author: "Tony Duan"
date: "2023-01-29"
categories: [R]
execute:
warning: false
error: false
format:
html:
toc: true
code-fold: show
code-tools: true
---
{width="508"}
```{r}
library(tidymodels)
library(themis)
library(tidyverse)
library(skimr)
library(GGally)
library(readr)
library(vip)
library(glmnet)
library(ranger)
```
# 1. download data
```{r}
hotels <-
read_csv('https://tidymodels.org/start/case-study/hotels.csv') %>%
mutate(across(where(is.character), as.factor))
dim(hotels)
```
```{r}
glimpse(hotels)
```
# 2. plot
unbalance data
```{r}
hotels %>%
count(children) %>%
mutate(prop = n/sum(n))
```
```{r}
skim(hotels)
```
# 3. data preparation
```{r}
set.seed(123)
splits <- initial_split(hotels, strata = children)
hotel_other <- training(splits)
hotel_test <- testing(splits)
```
```{r}
hotel_other %>%
count(children) %>%
mutate(prop = n/sum(n))
```
```{r}
hotel_test %>%
count(children) %>%
mutate(prop = n/sum(n))
```
```{r}
set.seed(234)
val_set <- validation_split(hotel_other,
strata = children,
prop = 0.80)
val_set
```
# build model
recipe
```{r}
holidays <- c("AllSouls", "AshWednesday", "ChristmasEve", "Easter",
"ChristmasDay", "GoodFriday", "NewYearsDay", "PalmSunday")
lr_recipe <-
recipe(children ~ ., data = hotel_other) %>%
step_date(arrival_date) %>%
step_holiday(arrival_date, holidays = holidays) %>%
step_rm(arrival_date) %>%
step_dummy(all_nominal_predictors()) %>%
step_zv(all_predictors()) %>%
step_normalize(all_predictors())
```
model
```{r}
lr_mod <-
logistic_reg(penalty = tune(), mixture = 1) %>%
set_engine("glmnet")
```
workflow
```{r}
lr_workflow <-
workflow() %>%
add_model(lr_mod) %>%
add_recipe(lr_recipe)
```
CREATE THE GRID FOR TUNING
```{r}
lr_reg_grid <- tibble(penalty = 10^seq(-4, -1, length.out = 30))
lr_reg_grid %>% top_n(-5) # lowest penalty values
lr_reg_grid %>% top_n(5) # highest penalty values
```
# TRAIN AND TUNE THE MODEL
```{r}
lr_res <-
lr_workflow %>%
tune_grid(val_set,
grid = lr_reg_grid,
control = control_grid(save_pred = TRUE),
metrics = metric_set(roc_auc))
```
```{r}
lr_plot <-
lr_res %>%
collect_metrics() %>%
ggplot(aes(x = penalty, y = mean)) +
geom_point() +
geom_line() +
ylab("Area under the ROC Curve") +
scale_x_log10(labels = scales::label_number())
lr_plot
```
```{r}
top_models <-
lr_res %>%
show_best("roc_auc", n = 15) %>%
arrange(penalty)
top_models
```
```{r}
lr_best <-
lr_res %>%
collect_metrics() %>%
arrange(penalty) %>%
slice(12)
lr_best
```
```{r}
lr_auc <-
lr_res %>%
collect_predictions(parameters = lr_best) %>%
roc_curve(children, .pred_children) %>%
mutate(model = "Logistic Regression")
autoplot(lr_auc)
```
## A SECOND MODEL: TREE-BASED ENSEMBLE
```{r}
cores <- parallel::detectCores()
cores
```
```{r}
rf_mod <-
rand_forest(mtry = tune(), min_n = tune(), trees = 1000) %>%
set_engine("ranger", num.threads = cores) %>%
set_mode("classification")
```
```{r}
rf_recipe <-
recipe(children ~ ., data = hotel_other) %>%
step_date(arrival_date) %>%
step_holiday(arrival_date) %>%
step_rm(arrival_date)
```
```{r}
rf_workflow <-
workflow() %>%
add_model(rf_mod) %>%
add_recipe(rf_recipe)
```
```{r}
rf_mod
```
```{r}
extract_parameter_set_dials(rf_mod)
```
```{r}
set.seed(345)
rf_res <-
rf_workflow %>%
tune_grid(val_set,
grid = 3,
control = control_grid(save_pred = TRUE),
metrics = metric_set(roc_auc))
#> i Creating pre-processing data to finalize unknown parameter: mtry
```
```{r}
rf_res %>%
show_best(metric = "roc_auc")
```
```{r}
autoplot(rf_res)
```
```{r}
rf_best <-
rf_res %>%
select_best(metric = "roc_auc")
rf_best
```
```{r}
rf_res %>%
collect_predictions()
```
```{r}
rf_auc <-
rf_res %>%
collect_predictions(parameters = rf_best) %>%
roc_curve(children, .pred_children) %>%
mutate(model = "Random Forest")
```
```{r}
bind_rows(rf_auc, lr_auc) %>%
ggplot(aes(x = 1 - specificity, y = sensitivity, col = model)) +
geom_path(linewidth = 1.5, alpha = 0.8) +
geom_abline(lty = 3) +
coord_equal() +
scale_color_viridis_d(option = "plasma", end = .6)
```
# last fit
```{r}
last_rf_mod <-
rand_forest(mtry = 8, min_n = 7, trees = 1000) %>%
set_engine("ranger", num.threads = cores, importance = "impurity") %>%
set_mode("classification")
# the last workflow
last_rf_workflow <-
rf_workflow %>%
update_model(last_rf_mod)
# the last fit
set.seed(345)
last_rf_fit <-
last_rf_workflow %>%
last_fit(splits)
last_rf_fit
```
```{r}
last_rf_fit %>%
collect_metrics()
```
```{r}
last_rf_fit %>%
extract_fit_parsnip() %>%
vip(num_features = 20)
```
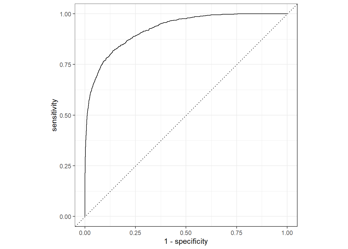
```{r}
last_rf_fit %>%
collect_predictions() %>%
roc_curve(children, .pred_children) %>%
autoplot()
```
# Reference
https://www.youtube.com/watch?v=dbXDkEEuvCU
https://juliasilge.com/blog/hotels-recipes/