Code
library(tidyverse)
library(ggplot2)
library(tidymodels)
library(rsample)
library(themis)prediction for binary model
Tony Duan
October 12, 2023

library(tidyverse)
hotels <- readr::read_csv("https://raw.githubusercontent.com/rfordatascience/tidytuesday/master/data/2020/2020-02-11/hotels.csv")
hotel_stays <- hotels %>%
filter(is_canceled == 0) %>%
mutate(
children = case_when(
children + babies > 0 ~ "children",
TRUE ~ "none"
),
required_car_parking_spaces = case_when(
required_car_parking_spaces > 0 ~ "parking",
TRUE ~ "none"
)
) %>%
select(-is_canceled, -reservation_status, -babies)
hotel_stays# A tibble: 75,166 × 29
hotel lead_time arrival_date_year arrival_date_month arrival_date_week_nu…¹
<chr> <dbl> <dbl> <chr> <dbl>
1 Resort… 342 2015 July 27
2 Resort… 737 2015 July 27
3 Resort… 7 2015 July 27
4 Resort… 13 2015 July 27
5 Resort… 14 2015 July 27
6 Resort… 14 2015 July 27
7 Resort… 0 2015 July 27
8 Resort… 9 2015 July 27
9 Resort… 35 2015 July 27
10 Resort… 68 2015 July 27
# ℹ 75,156 more rows
# ℹ abbreviated name: ¹arrival_date_week_number
# ℹ 24 more variables: arrival_date_day_of_month <dbl>,
# stays_in_weekend_nights <dbl>, stays_in_week_nights <dbl>, adults <dbl>,
# children <chr>, meal <chr>, country <chr>, market_segment <chr>,
# distribution_channel <chr>, is_repeated_guest <dbl>,
# previous_cancellations <dbl>, previous_bookings_not_canceled <dbl>, …
# A tibble: 2 × 2
children n
<chr> <int>
1 children 6073
2 none 69093
| Name | hotel_stays |
| Number of rows | 75166 |
| Number of columns | 29 |
| _______________________ | |
| Column type frequency: | |
| character | 14 |
| Date | 1 |
| numeric | 14 |
| ________________________ | |
| Group variables | None |
Variable type: character
| skim_variable | n_missing | complete_rate | min | max | empty | n_unique | whitespace |
|---|---|---|---|---|---|---|---|
| hotel | 0 | 1 | 10 | 12 | 0 | 2 | 0 |
| arrival_date_month | 0 | 1 | 3 | 9 | 0 | 12 | 0 |
| children | 0 | 1 | 4 | 8 | 0 | 2 | 0 |
| meal | 0 | 1 | 2 | 9 | 0 | 5 | 0 |
| country | 0 | 1 | 2 | 4 | 0 | 166 | 0 |
| market_segment | 0 | 1 | 6 | 13 | 0 | 7 | 0 |
| distribution_channel | 0 | 1 | 3 | 9 | 0 | 5 | 0 |
| reserved_room_type | 0 | 1 | 1 | 1 | 0 | 9 | 0 |
| assigned_room_type | 0 | 1 | 1 | 1 | 0 | 10 | 0 |
| deposit_type | 0 | 1 | 10 | 10 | 0 | 3 | 0 |
| agent | 0 | 1 | 1 | 4 | 0 | 315 | 0 |
| company | 0 | 1 | 1 | 4 | 0 | 332 | 0 |
| customer_type | 0 | 1 | 5 | 15 | 0 | 4 | 0 |
| required_car_parking_spaces | 0 | 1 | 4 | 7 | 0 | 2 | 0 |
Variable type: Date
| skim_variable | n_missing | complete_rate | min | max | median | n_unique |
|---|---|---|---|---|---|---|
| reservation_status_date | 0 | 1 | 2015-07-01 | 2017-09-14 | 2016-09-01 | 805 |
Variable type: numeric
| skim_variable | n_missing | complete_rate | mean | sd | p0 | p25 | p50 | p75 | p100 | hist |
|---|---|---|---|---|---|---|---|---|---|---|
| lead_time | 0 | 1 | 79.98 | 91.11 | 0.00 | 9.0 | 45.0 | 124 | 737 | ▇▂▁▁▁ |
| arrival_date_year | 0 | 1 | 2016.15 | 0.70 | 2015.00 | 2016.0 | 2016.0 | 2017 | 2017 | ▃▁▇▁▆ |
| arrival_date_week_number | 0 | 1 | 27.08 | 13.90 | 1.00 | 16.0 | 28.0 | 38 | 53 | ▆▇▇▇▆ |
| arrival_date_day_of_month | 0 | 1 | 15.84 | 8.78 | 1.00 | 8.0 | 16.0 | 23 | 31 | ▇▇▇▇▆ |
| stays_in_weekend_nights | 0 | 1 | 0.93 | 0.99 | 0.00 | 0.0 | 1.0 | 2 | 19 | ▇▁▁▁▁ |
| stays_in_week_nights | 0 | 1 | 2.46 | 1.92 | 0.00 | 1.0 | 2.0 | 3 | 50 | ▇▁▁▁▁ |
| adults | 0 | 1 | 1.83 | 0.51 | 0.00 | 2.0 | 2.0 | 2 | 4 | ▁▂▇▁▁ |
| is_repeated_guest | 0 | 1 | 0.04 | 0.20 | 0.00 | 0.0 | 0.0 | 0 | 1 | ▇▁▁▁▁ |
| previous_cancellations | 0 | 1 | 0.02 | 0.27 | 0.00 | 0.0 | 0.0 | 0 | 13 | ▇▁▁▁▁ |
| previous_bookings_not_canceled | 0 | 1 | 0.20 | 1.81 | 0.00 | 0.0 | 0.0 | 0 | 72 | ▇▁▁▁▁ |
| booking_changes | 0 | 1 | 0.29 | 0.74 | 0.00 | 0.0 | 0.0 | 0 | 21 | ▇▁▁▁▁ |
| days_in_waiting_list | 0 | 1 | 1.59 | 14.78 | 0.00 | 0.0 | 0.0 | 0 | 379 | ▇▁▁▁▁ |
| adr | 0 | 1 | 99.99 | 49.21 | -6.38 | 67.5 | 92.5 | 125 | 510 | ▇▆▁▁▁ |
| total_of_special_requests | 0 | 1 | 0.71 | 0.83 | 0.00 | 0.0 | 1.0 | 1 | 5 | ▇▁▁▁▁ |
hotel_stays %>%
mutate(arrival_date_month = factor(arrival_date_month,
levels = month.name
)) %>%
count(hotel, arrival_date_month, children) %>%
group_by(hotel, children) %>%
mutate(proportion = n / sum(n)) %>%
ggplot(aes(arrival_date_month, proportion, fill = children)) +
geom_col(position = "dodge") +
scale_y_continuous(labels = scales::percent_format()) +
facet_wrap(~hotel, nrow = 2) +
labs(
x = NULL,
y = "Proportion of hotel stays",
fill = NULL
)
Difference on recipe();prep();bake();juice()

the difference between train_proc and train_juice is that the train_juice is been down sample.
# A tibble: 2 × 2
children n
<fct> <int>
1 children 4516
2 none 51858
the juice and train_proc2 target is down sample to 1:1
# A tibble: 2 × 2
children n
<fct> <int>
1 children 4516
2 none 4516
juice(pre_recipe,data=NULL) is same as bake(pre_recipe,data=hotel_train) for training data (excepted down sample)
not using workflow in this case
training with train data(baked).
parsnip model object
Call:
kknn::train.kknn(formula = children ~ ., data = data, ks = min_rows(5, data, 5))
Type of response variable: nominal
Minimal misclassification: 0.2636182
Best kernel: optimal
Best k: 5
parsnip model object
n= 9032
node), split, n, loss, yval, (yprob)
* denotes terminal node
1) root 9032 4516 children (0.50000000 0.50000000)
2) adr>=0.1301836 3422 808 children (0.76388077 0.23611923) *
3) adr< 0.1301836 5610 1902 none (0.33903743 0.66096257)
6) total_of_special_requests>=0.6368171 1106 472 children (0.57323689 0.42676311) *
7) total_of_special_requests< 0.6368171 4504 1268 none (0.28152753 0.71847247)
14) adults< -2.855322 81 7 children (0.91358025 0.08641975) *
15) adults>=-2.855322 4423 1194 none (0.26995252 0.73004748) *
We can build a set of Monte Carlo splits from the downsampled training data and use this set of resamples to estimate the performance of our two models using the fit_resamples() function. This function does not do any tuning of the model parameters; in fact, it does not even keep the models it trains. This function is used for computing performance metrics across some set of resamples like our validation splits. It will fit a model such as knn_spec to each resample and evaluate on the heldout bit from each resample, and then we can collect_metrics() from the result.
# Monte Carlo cross-validation (0.9/0.1) with 25 resamples using stratification
# A tibble: 25 × 2
splits id
<list> <chr>
1 <split [8128/904]> Resample01
2 <split [8128/904]> Resample02
3 <split [8128/904]> Resample03
4 <split [8128/904]> Resample04
5 <split [8128/904]> Resample05
6 <split [8128/904]> Resample06
7 <split [8128/904]> Resample07
8 <split [8128/904]> Resample08
9 <split [8128/904]> Resample09
10 <split [8128/904]> Resample10
# ℹ 15 more rows
should input non train model into fit_resamples
# A tibble: 2 × 6
.metric .estimator mean n std_err .config
<chr> <chr> <dbl> <int> <dbl> <chr>
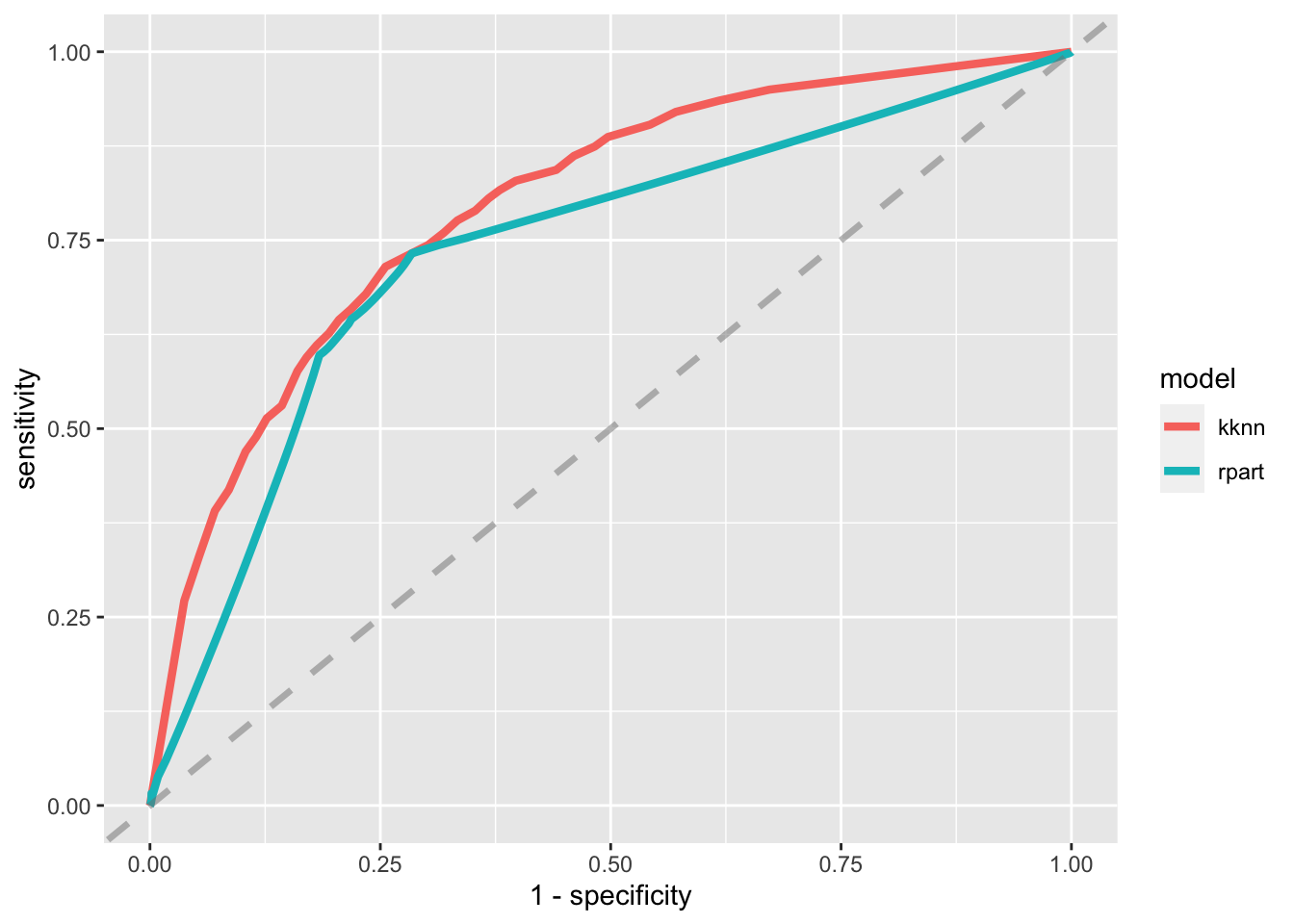
1 accuracy binary 0.730 25 0.00271 Preprocessor1_Model1
2 roc_auc binary 0.796 25 0.00268 Preprocessor1_Model1
# A tibble: 2 × 6
.metric .estimator mean n std_err .config
<chr> <chr> <dbl> <int> <dbl> <chr>
1 accuracy binary 0.723 25 0.00234 Preprocessor1_Model1
2 roc_auc binary 0.742 25 0.00225 Preprocessor1_Model1
knn_res %>%
unnest(.predictions) %>%
mutate(model = "kknn") %>%
bind_rows(tree_res %>%
unnest(.predictions) %>%
mutate(model = "rpart")) %>%
group_by(model) %>%
roc_curve(children, .pred_children) %>%
ggplot(aes(x = 1 - specificity, y = sensitivity, color = model)) +
geom_line(size = 1.5) +
geom_abline(
lty = 2, alpha = 0.5,
color = "gray50",
size = 1.2
)
Truth
Prediction children none
children 8077 2888
none 3223 8412
# A tibble: 6 × 3
.pred_children .pred_none truth
<dbl> <dbl> <fct>
1 0 1 none
2 0.252 0.748 none
3 0.775 0.225 children
4 0.0233 0.977 none
5 0.0233 0.977 none
6 0.0233 0.977 none
https://github.com/rfordatascience/tidytuesday/blob/master/data/2020/2020-02-11/readme.md
https://juliasilge.com/blog/hotels-recipes/
https://www.tidymodels.org/start/case-study/
---
title: "tidymodels 1 recipes in R on hotel booking"
subtitle: "prediction for binary model"
author: "Tony Duan"
date: "2023-10-12"
categories: [R]
execute:
warning: false
error: false
format:
html:
toc: true
toc-location: left
code-fold: show
code-tools: true
number-sections: true
code-block-bg: true
code-block-border-left: "#31BAE9"
---
{width="500"}
# package
```{r}
library(tidyverse)
library(ggplot2)
library(tidymodels)
library(rsample)
library(themis)
```
# data
```{r}
library(tidyverse)
hotels <- readr::read_csv("https://raw.githubusercontent.com/rfordatascience/tidytuesday/master/data/2020/2020-02-11/hotels.csv")
hotel_stays <- hotels %>%
filter(is_canceled == 0) %>%
mutate(
children = case_when(
children + babies > 0 ~ "children",
TRUE ~ "none"
),
required_car_parking_spaces = case_when(
required_car_parking_spaces > 0 ~ "parking",
TRUE ~ "none"
)
) %>%
select(-is_canceled, -reservation_status, -babies)
hotel_stays
```
## EDA
```{r}
hotel_stays %>%
count(children)
```
```{r}
library(skimr)
skim(hotel_stays)
```
```{r}
hotel_stays %>%
mutate(arrival_date_month = factor(arrival_date_month,
levels = month.name
)) %>%
count(hotel, arrival_date_month, children) %>%
group_by(hotel, children) %>%
mutate(proportion = n / sum(n)) %>%
ggplot(aes(arrival_date_month, proportion, fill = children)) +
geom_col(position = "dodge") +
scale_y_continuous(labels = scales::percent_format()) +
facet_wrap(~hotel, nrow = 2) +
labs(
x = NULL,
y = "Proportion of hotel stays",
fill = NULL
)
```
## data split
```{r}
hotels_df <- hotel_stays %>%
select(
children, hotel, arrival_date_month, meal, adr, adults,
required_car_parking_spaces, total_of_special_requests,
stays_in_week_nights, stays_in_weekend_nights
) %>%
mutate_if(is.character, factor)
```
```{r}
library(tidymodels)
set.seed(1234)
hotel_split <- initial_split(hotels_df)
hotel_train <- training(hotel_split)
hotel_test <- testing(hotel_split)
```
# model
## recipe
```{r}
hotel_rec <- recipe(children ~ ., data = hotel_train) %>%
step_downsample(children) %>%
step_dummy(all_nominal(), -all_outcomes()) %>%
step_zv(all_numeric()) %>%
step_normalize(all_numeric()) %>%
prep()
```
Difference on recipe();prep();bake();juice()
{width="500"}
## prep the recipe
```{r}
hotel_rec=hotel_rec %>% prep()
```
```{r}
hotel_rec
```
## bake the train data with preded recipe
```{r}
train_proc <- bake(hotel_rec, new_data = hotel_train)
```
```{r}
train_proc2 <- bake(hotel_rec, new_data = NULL)
```
```{r}
train_juice <-juice(hotel_rec)
```
the difference between train_proc and train_juice is that the train_juice is been down sample.
```{r}
dim(train_proc)
```
```{r}
dim(train_proc2)
```
```{r}
dim(train_juice)
```
```{r}
train_proc %>%
count(children)
```
the juice and train_proc2 target is down sample to 1:1
```{r}
train_proc2 %>%
count(children)
```
```{r}
train_juice %>%
count(children)
```
## bake the test data with preded recipe
```{r}
test_proc <- bake(hotel_rec, new_data = hotel_test)
```
juice(pre_recipe,data=NULL) is same as bake(pre_recipe,data=hotel_train) for training data (excepted down sample)
## model
### KNN model
```{r}
knn_spec <- nearest_neighbor() %>%
set_engine("kknn") %>%
set_mode("classification")
```
### tree model
```{r}
tree_spec <- decision_tree() %>%
set_engine("rpart") %>%
set_mode("classification")
```
## workflow
not using workflow in this case
## training
training with train data(baked).
```{r}
knn_fit <- knn_spec %>%
fit(children ~ ., data = train_juice)
knn_fit
```
```{r}
tree_fit <- tree_spec %>%
fit(children ~ ., data = train_juice)
tree_fit
```
## Evaluate
We can build a set of Monte Carlo splits from the downsampled training data and use this set of resamples to estimate the performance of our two models using the fit_resamples() function. This function does not do any tuning of the model parameters; in fact, it does not even keep the models it trains. This function is used for computing performance metrics across some set of resamples like our validation splits. It will fit a model such as knn_spec to each resample and evaluate on the heldout bit from each resample, and then we can collect_metrics() from the result.
```{r}
#mc_cv default is 25
set.seed(1234)
validation_splits <- mc_cv(train_juice, prop = 0.9, strata = children
#,times=3
)
validation_splits
```
should input non train model into fit_resamples
```{r}
knn_res <- knn_spec %>% fit_resamples(
children ~ .,
validation_splits,
control = control_resamples(save_pred = TRUE)
)
```
```{r}
knn_res %>%
collect_metrics()
```
```{r}
tree_res <- tree_spec %>% fit_resamples(
children ~ .,
validation_splits,
control = control_resamples(save_pred = TRUE)
)
```
```{r}
tree_res %>%
collect_metrics()
```
```{r}
knn_res %>%
unnest(.predictions) %>%
mutate(model = "kknn") %>%
bind_rows(tree_res %>%
unnest(.predictions) %>%
mutate(model = "rpart")) %>%
group_by(model) %>%
roc_curve(children, .pred_children) %>%
ggplot(aes(x = 1 - specificity, y = sensitivity, color = model)) +
geom_line(size = 1.5) +
geom_abline(
lty = 2, alpha = 0.5,
color = "gray50",
size = 1.2
)
```
```{r}
knn_conf <- knn_res %>%
unnest(.predictions) %>%
conf_mat(children, .pred_class)
knn_conf
```
```{r}
knn_conf %>%
autoplot()
```
```{r}
#knn_fit %>%
# predict(new_data = test_proc, type = "prob") %>%
# mutate(truth = hotel_test$children) %>%
# roc_auc(truth, .pred_children)
```
# predictions
```{r}
predictions= knn_fit%>%
predict(new_data = test_proc, type = "prob") %>%
mutate(truth = hotel_test$children)
head(predictions)
```
```{r}
predictions %>% roc_auc(truth, .pred_children)
```
# Reference
https://github.com/rfordatascience/tidytuesday/blob/master/data/2020/2020-02-11/readme.md
https://juliasilge.com/blog/hotels-recipes/
https://www.tidymodels.org/start/case-study/